WBR3N Reset & Teardown (FCC ID 2ANDL-WBR3N)
Factory reset and internal photos for Tuya Global WBR3N. Tuya / Smart Life smart plug.
January 15, 2026
•
1 min read
Before you buy the Tuya Global WBR3N, check what's inside.
The WBR3N is a low-power embedded module from Tuya, featuring both WiFi and Bluetooth connectivity. It is designed for integration into smart home devices and appliances, powered by a 3.0-3.6V battery.
⚠️ NOTE: Ensure correct battery polarity when installing and replacing batteries.
Quick Specs
- Manufacturer: Tuya Global
- Model: WBR3N
- Protocol: WiFi
- Chipset: Realtek RTL8720
- Ecosystem: Tuya / Smart Life
- App: Smart Life
🔧 Geek Corner (Flashing Info)
- Chipset: RTL8720CS
- Flashable: ❌ No
- Info: The reference manual indicates the module is designed for specific Tuya firmware and does not mention third-party firmware support. The FCC ID lookup and chip (RTL8720CS) are also generally not easily flashable with common Tasmota/ESPHome firmware due to proprietary bootloaders or lack of community support for this specific variant.
User Manual
Scanned pages from the official user manual:









External Photos
Photos of the device exterior:

Internal Photos
Teardown photos showing the PCB and components:

Verdict
The WBR3N is a WiFi device from the Tuya / Smart Life ecosystem.
📄 Click to view full text manual (SEO)
WBR3N User manual
1 Product Overview
WBR3N is a low -power embedded WiFi+BT module that Tuya has developed. It consists of a
highly integrated wireless RF chip (RTL8720CS), a few peripherals, an
embedded WiFi network protocol stack, the BT network protocol, and varied library
functions. WBR3N has an embedded low-power 32-bit CPU, 512 KB static randomaccess memory
(SRAM), 4 MB flash memory, and rich peripherals. WBR3N is an
RTOS platform that integrates all function libraries of the WiFi MAC and TCP/IP protocols. You can
develop embedded WiFi products as required.
1.1 Features
1. Embedded low-power 32-bit CPU, which can also function as an application
processor
2. The maxium clock rate: 200 MHz
3. Working voltage: 3.0 to 3.6 V
4. Peripherals: 8 GPIOs, 1 universal asynchronous receiver/transmitter (UART),
and 1 analog to digital converter (ADC)
5. WiFi connectivity
• 802.11b/g/n 1x1 2.4 G
• Channels 1 to 14 at 2.4 Ghz
• Support WPA and WPA2 security modes
• Up to +17.5 dBm output power in 802.11b mode
• Support STA/AP/STA+AP working modes
• Support SmartConfig and AP network configuration manners for Android
and iOS devices
• Onboard PCB antenna with a gain of 2.5 dBi at 2.4 G
• Working temperature: -20 to 85℃
6. BT/BLE connectivity
• Support BLE V5.0
• Up to the output power of +9 dbm The default output power is 7dB.
• PCB antenna with a gain of 2.5 dBi at 2.4 G shared with WiFi
• Working temperature: -20 to 85℃
1.2 Applications
• Intelligent building
• Smart household and home appliances
• Smart socket and light
• Industrial wireless control
• Baby monitor
• Network camera
• Intelligent bus
2. Electrical Parameters
2.1 Absolute Electrical Parameters
2.2 Normal Working Conditions
4 RF Parameters
4.1 Basic RF Features
5 Antenna Information
5.1 Antenna Type
WBR3N uses only an onboard PCB antenna.
5.2 Antenna Interference Reduction
To ensure optimal WiFi performance when the WiFi module uses an onboard PCB
antenna, it is recommended that the antenna be at least 15 mm away from other
metal parts. To ensure the antenna performance, the PCB should not be routed
or clad with copper in the antenna area. The main points of the layout: 1. Make
sure that there is no substrate medium directly below or above the printed antenna.
2. Make sure that the area around the printed antenna is far away from the metal
copper skin, so as to ensure the radiation effect of the antenna to the greatest
extent
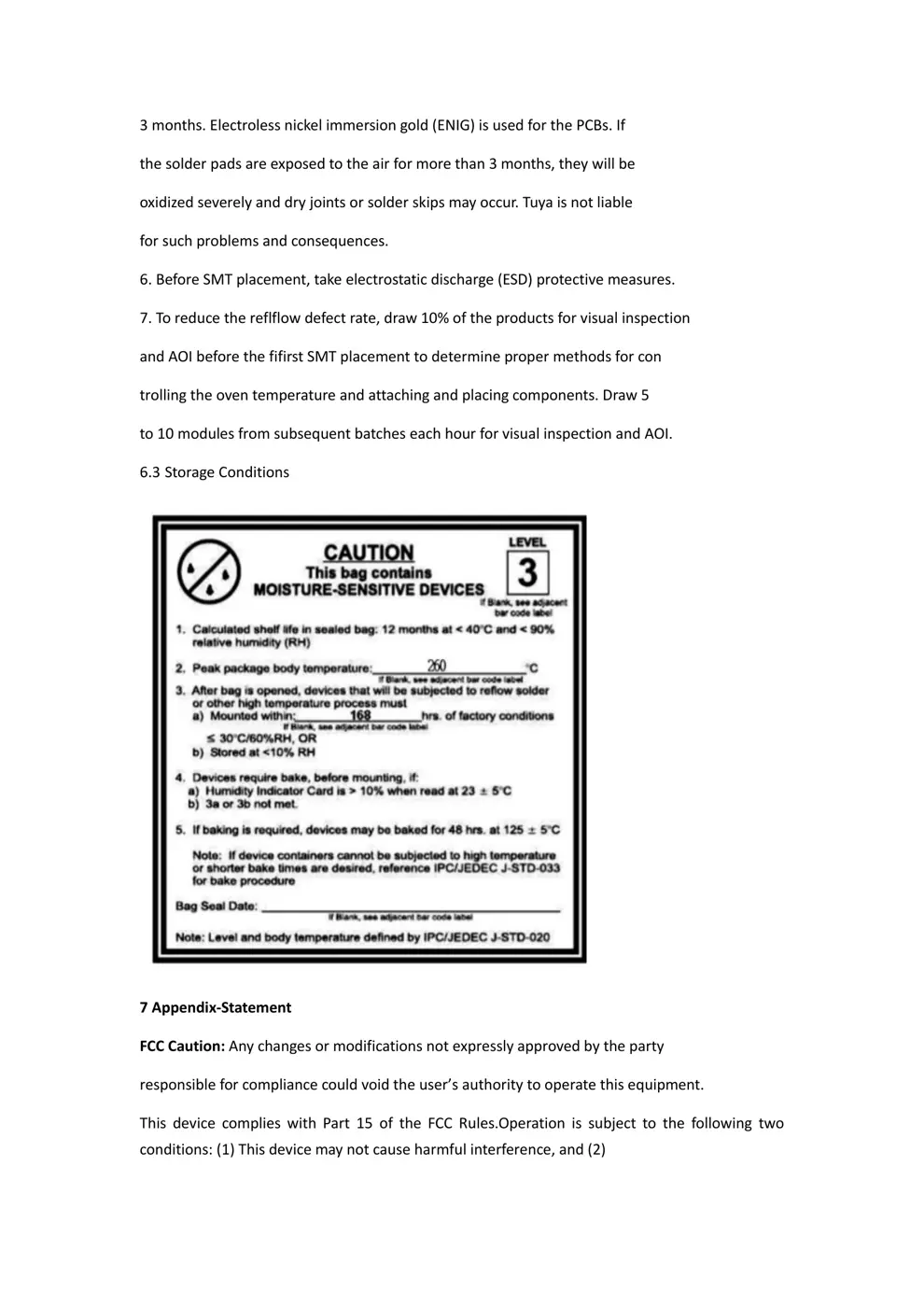
6. Packaging Information and Production Instructions
6.1 Mechanical Dimensions
The WBR3N dimensions are 16mm (W)×24mm (L) ×3.0mm (H)
6.2 Production Instructions
1. Use an SMT placement machine to mount the stamp hole module that Tuya
produces onto the PCB within 24 hours after the module is unpacked and the
fifirmware is burned.If not, vacuum pack the module again. Bake the module
before mounting it onto the PCB. A. SMT placement equipment
• a) Reflflow soldering machine
17 / 237 PACKAGING INFORMATI...